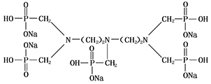
中文別名: 二乙烯三胺五甲叉膦酸五鈉 DTPMP·Na5 分子式:C9H23O15N3P5Na5
相對分子質量:683.2
結構式:

一、性能與用途
DTPMP·Na5是一種中性產品,DTPMP·Na5無毒,在水處理中用作循環冷卻水和鍋爐水的阻垢緩蝕劑。
DTPMP·Na5可用做過氧化物穩定劑、紡織印染用螯合劑、顏料的分散劑、化肥中微量元素攜帶劑、混凝土添加劑。此外,在造紙、電鍍和化妝品等方面也得到了廣泛應用。
二、技術指標
| 項目 |
指標 |
| 外觀 |
琥珀色透明液體 |
| 活性組分(以DTPMPA計) % |
24.0-26.0 |
| 活性組分(以 DTPMP·Na5計) % |
28.5-31.0 |
| 總磷含量(以PO43-計) % |
19.7-21.7 |
| 氯化物(以Cl-計) % |
≤ |
5.0 |
| 密度(20°C)g/cm3 |
≥ |
1.25 |
| Fe(以Fe2+計)含量mg/L |
≤ |
20.0 |
| pH(1%水溶液) |
6.0-8.0 |
三、包裝與貯存
DTPMP·Na5液體用料塑桶包裝,每桶25kg或250kg,貯于室內陰涼干燥處,防潮,貯存期為十個月。
四、安全防護
DTPMP·Na5為中性,操作時注意勞動保護,應避免與皮膚、眼睛等接觸,接觸后用大量清水沖洗。
|