當前位置:產品中心
產品中心
products center
產品中心
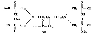
雙1,6-亞己基三胺五甲叉膦酸鈉 BHMTPH·PN(Nax)

別名:二己烯三胺五亞甲基膦酸鈉

分子式:C17H44-xO15N3P5Nax

相對分子質量:約731

結構式:

一、性能與用途

BHMTPH·PN(Nax)是高效的螯合型阻垢劑,對碳酸鹽垢和硫酸鹽垢具有良好的阻垢效果。在較寬的pH范圍和120°C高溫下有極佳的水溶性和熱穩定性,對鈣離子容忍度高。BHMTPH·PN(Nax)是油田水處理中的緩蝕阻垢劑,工業循環冷卻水和鍋爐水的阻垢緩蝕劑。

二、技術指標

項目 指標
外觀 深棕色液體
活性組分 % (以酸計) 35.0-39.0
Fe(以Fe2+計)含量mg/L 65.0
密度(20°C)g/cm3 1.21-1.31
pH(1%水溶液) 2.5-4.5

三、使用方法

單獨使用或與聚羧酸型阻垢分散劑配合使用。

四、包裝與貯存

BHMTPH·PN(Nax)用塑料桶包裝,每桶25kg或根據用戶需要確定。貯于室內陰涼處,貯存期為十個月。

五、安全防護

BHMTPH·PN(Nax)為弱酸性,操作時注意勞動保護,應避免與皮膚、眼睛等接觸,接觸后用大量清水沖洗。


返回
主站蜘蛛池模板: 靖江市| 龙口市| 凉山| 龙岩市| 齐齐哈尔市| 仁寿县| 湛江市| 阿拉善盟| 武鸣县| 克什克腾旗| 从化市| 固安县| 临沭县| 吉安市| 衡阳县| 宜宾市| 永兴县| 靖安县| 乾安县| 图们市| 张家港市| 凤城市| 维西| 华蓥市| 龙泉市| 女性| 阿克苏市| 兴业县| 黄浦区| 天全县| 枣庄市| 富阳市| 绿春县| 阿城市| 清远市| 麟游县| 唐山市| 泰和县| 铜鼓县| 定远县| 阳信县|