當前位置:產品中心
產品中心
products center
產品中心
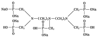
二乙烯三胺五甲叉膦酸七鈉 DTPMP·Na7

分子式:C9H21O15N3P5Na7

相對分子質量:727

結構式:

一、性能與用途

DTPMP·Na7可用作阻垢劑、高效螯合劑、優良的BaSO4阻垢劑,DTPMP·Na7廣泛用于冷卻水處理、過氧化物漂白的穩定劑、洗滌助劑、市政工業清潔用水、地熱水處理、油田阻垢。

二、技術指標

項目 指標
外觀 紅棕色液體
活性組分(以DTPMPA計) % 31.5-33.5 24.0-26.0
活性組分(以DTPMP·Na7計) % 40.0-42.5 30.5-33.0
總磷含量(以PO43-計) % 25.9-27.9 19.7-21.7
氯化物(以Cl-計) % 5.0 5.0
Fe(以Fe2+計)含量mg/L 20.0 20.0
pH(1%水溶液) 7.0-9.0 7.0-9.0
pH(原液) 6.0-8.0 6.0-8.0
密度(20°C) g/cm3 1.34-1.44 1.24-1.34

三、包裝與貯存

DTPMP·Na7用塑料桶包裝,每桶25kg或250kg,也可根據用戶需要確定。貯于室內陰涼處,貯存期十個月。

四、安全防護

DTPMP·Na7為中性,操作時注意勞動保護,應避免與皮膚、眼睛等接觸,接觸后用大量清水沖洗。


返回
主站蜘蛛池模板: 侯马市| 南开区| 江孜县| 中江县| 新昌县| 阿拉善左旗| 万源市| 历史| 康保县| 湖州市| 平阴县| 鄱阳县| 临邑县| 南投县| 南宁市| 嘉峪关市| 广宗县| 迭部县| 神农架林区| 仪陇县| 兰考县| 胶南市| 叶城县| 当阳市| 临清市| 中卫市| 平武县| 阳城县| 邓州市| 太仆寺旗| 甘洛县| 定州市| 灵璧县| 泾源县| 巨鹿县| 武强县| 山东| 甘泉县| 莫力| 怀柔区| 澳门|