當前位置:產品中心
產品中心
products center
產品中心
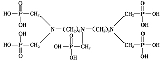
雙1,6-亞己基三胺五甲叉膦酸 BHMTPMPA

別名:二己烯三胺五亞甲基膦酸

分子式:C17H44O15N3P5

相對分子質量:685

結構式:

一、性能與用途

BHMTPMPA是高效的螯合型阻垢劑,對碳酸鹽垢和硫酸鹽垢具有良好的阻垢效果。BHMTPMPA在較寬的pH范圍和120°C高溫下有極佳的水溶性和熱穩定性,對鈣離子容忍度高。BHMTPMPA用作油田水處理的緩蝕阻垢劑,工業循環冷卻水和鍋爐水的阻垢緩蝕劑。

二、技術指標

項目 指標
外觀 深琥珀色液體
活性組分% 43.0-48.0
氯化物(以Cl-計)% 8.0
Fe(以Fe2+計)含量mg/L 65.0
密度(20°C)g/cm3 1.20
pH(1%水溶液) 2.0

三、使用方法

單獨使用或與聚羧酸型阻垢分散劑配合使用。

四、包裝與貯存

BHMTPMPA用塑料桶包裝,每桶25kg或根據用戶需要確定。BHMTPMPA貯于室內陰涼處,貯存期為十二個月。

五、安全防護

BHMTPMPA為酸性,操作時注意勞動保護,應避免與皮膚、眼睛等接觸,接觸后用大量清水沖洗。


返回
主站蜘蛛池模板: 玉门市| 南安市| 茶陵县| 阿城市| 锡林郭勒盟| 林甸县| 凤翔县| 杭锦旗| 章丘市| 兴宁市| 泾源县| 托克托县| 鹤峰县| 山阳县| 皋兰县| 札达县| 吉隆县| 兴业县| 沂水县| 沂南县| 沛县| 峨山| 荔浦县| 九台市| 扶风县| 潍坊市| 高雄县| 吉首市| 滨海县| 开江县| 交口县| 浦县| 宁武县| 开封市| 互助| 兰西县| 马鞍山市| 思南县| 芒康县| 琼结县| 安康市|